University Immunization Rate in Indiana
2001 Assessment Results
School Reports | Immunization Index | Data and Statistics
Previous Page | Contents | Next Page
| Measeles (%) |
Mumps (%) |
Rubella (%) |
Tetanus (%) |
Diphtheria (%) |
|
|---|---|---|---|---|---|
| Number of Students with Complete Vaccine Record | 3,337 (93.9) |
3,339 (94.0) |
3,329 (93.7) |
3,307 (93.1) |
3,307 (93.1) |
| Number of Students with Disease History | 5 | 6 | 0 | 0 | |
| Number of Students with Documented Laboratory Immunity | 5 | 4 | 13 | 0 | 0 |
| Number of Students Born Before January 1, 1957 | 10 | 10 | 10 | ||
| Number of Students with Medical Exemptions | 7 | 5 | 5 | 11 | 11 |
| Number of Students with Religious Exemptions | 1 | 1 | 1 | 1 | 1 |
| Number of Students with temporary exemption due to Td shortage | 0 | 0 | |||
| Total Number of Students in Compliance* | 3,365 (94.7) |
3,365 (94.7) |
3,358 (94.5) |
3,319 (93.4) |
3,319 (93.4) |
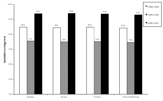
Figure 3. Ball State
University. Percent of students completely vaccinated, previous three school
years.

* Some students may have been included in more than one compliance category.
School Reports | Immunization Index | Data and Statistics
Previous Page | Contents | Next Page